La majoration pour frais généraux : définition et calcul
La majoration pour frais généraux permet de répartir les frais généraux à des supports de coûts individuels lorsque ces frais ne peuvent pas être affectés directement. En ajoutant les frais généraux aux coûts unitaires, on obtient le coût total d’un produit ou d’une prestation.
- 1 certificat SSL Wildcard par contrat
- Fonction incluse Domain Connect pour une configuration DNS simplifiée
Les frais généraux : définition
Les coûts liés à un produit ou une prestation sont composés des frais unitaires et des frais généraux. Les deux types de coûts influencent directement le prix d’un article ou d’une prestation. Dans la mesure où les frais unitaires peuvent être imputés directement à un support de coût, contrairement aux frais généraux, les frais unitaires peuvent être calculés relativement simplement. Afin de couvrir les frais généraux, il est recommandé de les calculer également pour les différents produits ou les différentes prestations et d’en tenir compte dans la détermination du prix global.
De façon générale, on opère une distinction entre les frais généraux des supports de coûts et les frais généraux de centres de coûts. Les loyers, les amortissements, les coûts de formation, les salaires ainsi que les coûts pour les véhicules, les bâtiments, l’énergie, la publicité ou le téléphone et Internet sont des exemples de frais généraux de supports de coûts courants. Les frais généraux de centres de coûts concernent par exemple les filiales, les départements d’une entreprise et les groupes de production. Les frais généraux sont imputés à quatre catégories :
- Les coûts généraux de matériaux (par ex : les salaires des employés du département achat, de l’entrepôt de réception des marchandises et du contrôle de la réception des marchandises, les loyers des entrepôts)
- Les coûts généraux de fabrication (par ex : les loyers pour les bâtiments de production, l’usure des machines)
- Les coûts généraux de distribution (par ex : les salaires des employés de la distribution et du marketing)
- Les coûts administratifs généraux (par ex : les salaires pour le service RH et le service comptabilité, les fournitures de bureau)
Comment calculer la marge commerciale ?
Avant de pouvoir calculer la marge commerciale et de l’imputer aux différents supports de coûts, il est important de répartir les frais généraux entre les différents centres de coûts. On entend par centres de coûts les différents départements de l’entreprise qui sont souvent les services ou les domaines fonctionnels de l’entreprise. De cette façon, vous pouvez suivre dans quels domaines de l’entreprise les différents coûts ont été générés. Ces coûts peuvent ensuite être répartis entre les différents produits. Afin de pouvoir répartir les frais généraux sur les centres de coûts à la première étape, vous devez connaître le montant total des frais généraux.
Répartir les frais généraux sur les centres de coûts
Une feuille de compte d’exploitation vous permettra de répartir les frais généraux entre les centres de coûts. La feuille de compte d’exploitation est un outil de calcul des coûts. Dans un tableau, les différents types de frais généraux ainsi que le montant des frais en euros sont imputés aux différents centres de coûts. Afin de répartir les frais généraux, il est nécessaire d’établir une clé aussi précise que possible. Les clés usuelles pour les types de frais généraux (salaires, loyers et assurance) sont les suivantes :
- Les salaires des employés correspondants d’un centre de coûts
- Les loyers pour la surface utilisée (m²) par le centre de coûts correspondant
- L’assurance pour les employés actifs dans un centre de coûts
Majoration pour frais généraux : calcul
Pour calculer la majoration pour frais généraux, la formule est la suivante :

Il vous suffit donc de diviser la somme des frais généraux par la base de majoration. La base de majoration correspond aux frais unitaires (par exemple aux coûts de matériaux) du centre de coûts correspondant. Multipliez ensuite par 100 pour obtenir le taux de pourcentage de majoration pour frais généraux de votre entreprise.
Imputer les frais généraux aux supports de coûts
Les frais généraux peuvent être calculés en appliquant un taux de majoration à certaines catégories de coûts, comme les matériaux ou la main-d’œuvre. Ce taux de majoration, une fois déterminé, permet de répartir les frais généraux sur les différents supports de coûts. Cette méthode assure une répartition équitable des coûts indirects dans le coût total.
Méthodes de calcul de la majoration
Le calcul de la majoration s’applique lorsque différents produits sont fabriqués dans une entreprise avec différents coûts. Les différences de coûts sont dues aux différents matériaux et processus de fabrication. On opère une distinction entre les calculs de la majoration à un et à plusieurs niveaux.
Calcul de la majoration à un niveau : dans le cas d’un calcul de la majoration à un niveau, l’intégralité des frais généraux est imputée avec un taux de majoration unique. Le taux de majoration est obtenu en divisant l’ensemble des frais généraux par l’ensemble des frais unitaires d’une période donnée. Le principal inconvénient de cette méthode est que l’on part du principe qu’il existe un rapport constant entre les frais généraux et les différents types de frais unitaires.
Calcul de la majoration à plusieurs niveaux : le calcul de la majoration à plusieurs niveaux est effectué selon le principe de la causalité des coûts. Les frais généraux sont imputés de façon différente aux départements dans lesquels ils ont été engendrés. Les frais généraux et unitaires sont généralement occasionnés dans les domaines Matériaux, Fabrication, Administration et Distribution. Dans notre exemple, les taux de majoration pour frais généraux ont été calculés par un calcul de la majoration à plusieurs niveaux.
Majoration pour frais généraux : calcul d’exemple
Afin de mieux comprendre les entrées d’une feuille de compte d’exploitation, nous vous expliquons ici les hypothèses pour le centre de coûts Matériaux : au total, 8 personnes sont employées au service achats, dans l’entrepôt de réception des marchandises et au contrôle de réception des marchandises. Ces services font partie du centre de coûts Matériaux. Les employés touchent un salaire mensuel de 2 500 €, ce qui donne des frais généraux de 20 000 €. Le montant mensuel de l’assurance pour chaque employé de ce centre de coûts est de 500 €. Les frais généraux pour l’assurance se portent donc au total à une valeur de 4 000 €. Étant donné que les coûts pour le loyer des entrepôts s’élèvent à 6 000 €, cette somme correspond aux frais généraux pour le loyer.
| Type de frais généraux | Matériaux |
|---|---|
| Salaires | 20 000 |
| Loyers | 6 000 |
| Assurances | 4 000 |
| Total des frais généraux | 30 000 |
| Base de majoration | 100 000 |
| Taux de majoration | 30 % |
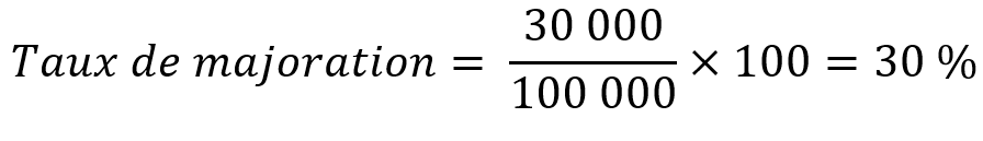
Calcul du taux de majoration des frais généraux
Dans notre exemple, le taux de majoration pour les frais généraux de matériaux peut être calculé en divisant la somme des frais généraux de 30 000 € par la base de majoration de 100 000 €. Cela correspond à un taux de majoration de 0,3 (30 %).

Imputation des frais généraux aux supports de coûts
Dans l’exemple, la base de majoration des frais généraux de matériaux est calculée à partir du coût total des matériaux achetés et transformés. Une fois la majoration pour frais généraux calculée, les frais généraux peuvent être imputés aux différents supports de coûts. Par exemple, si les coûts de matériaux pour un produit ou une prestation s’élèvent à 1 €, ils sont augmentés d’un taux de majoration de 30 %. On obtient ainsi un coût total de 1,30 €.
Si vous avez déterminé les frais généraux à l’aide du taux de majoration, vous pouvez calculer le prix global d’un produit ou d’une prestation à partir de la somme des frais unitaires et généraux. La marge sur coût variable montre la contribution de chaque produit à la rentabilité de l’entreprise. Vous découvrirez tout ce que vous devez savoir sur la marge sur coût variable ainsi que son mode de calcul dans notre article sur la marge sur coût variable.
- Adresse email à votre nom
- Fonctions d'IA pour rédiger des emails parfaits (en option)
- Messagerie sécurisée avec protection anti-spam
Veuillez prendre connaissance des mentions légales en vigueur sur cet article.

