Valeur actuelle nette : calcul de la Net Present Value de votre investissement
Un investissement est un bon investissement s’il génère un retour sur investissement. La rentabilité d’un investissement dépend du rapport entre le bénéfice attendu et le montant initialement investi. Mais comment évaluer de futurs flux de paiement d’un point de vue actuel ?
La finance parle ici de valeur temps de l’argent (en anglais : time value of money, TVM). Cela signifie qu’un encaissement aujourd’hui vaut davantage qu’un encaissement futur du même montant. Ceci s’explique par le fait que vous pouvez investir l’argent dont vous disposez aujourd’hui dans le marché des capitaux et générer ainsi des intérêts.
Supposons que vous perdiez 10 000 euros et que vous récupériez l’intégralité de cette somme 2 ans plus tard. Vous auriez alors perdu de l’argent, à savoir le montant rapporté par les intérêts d’un placement financier de deux ans. On parle ici de coût de renoncement ou d’opportunité. Il est recommandé de tenir compte de ce coût lors de la planification des investissements, par exemple en calculant la valeur actuelle nette.
La valeur actuelle de futurs paiements est déterminée par une actualisation. Cette méthode consiste à déduire du montant les intérêts que produirait un placement de même montant sur la période donnée.
Nous vous expliquons ce calcul pas à pas à l’aide d’un exemple pratique.
Qu’est-ce que la valeur du capital ?
La valeur actuelle nette (en anglais : Net Present Value, abrégée en NPV) est un indicateur de la méthode dynamique de calcul de l’investissement. Les investisseurs utilisent la valeur actuelle nette pour déterminer la valeur de futurs encaissements et décaissements au moment actuel. Vous pouvez ainsi comparer des placements de différentes périodes sous revue, et-différentes possibilités d’investissement en fonction de leur rentabilité.
Le calcul de l’investissement est utilisé dans le cadre de la planification d’un investissement et comprend différentes méthodes de calcul permettant une évaluation rationnelle des projets d’investissement. En gestion d’entreprise, on distingue les méthodes de calcul de l’investissement statiques et dynamiques. Alors que les procédures statiques sont axées sur une année moyenne typique pour l’investissement, les procédures dynamiques tiennent compte de la durée totale de l’investissement et donc des fluctuations des encaissements et décaissements générés par l’investissement sur les différentes périodes considérées. Le calcul de la valeur actuelle nette fait partie des méthodes dynamiques de calcul de l’investissement.
La méthode de la valeur actuelle nette consiste à calculer et évaluer les valeurs actuelles nettes.
La valeur actuelle nette est la somme de tous les encaissements et décaissements actualisés d’un investissement au moment actuel. En français, on la trouve aussi sous sa forme abrégée VAN.
Comment la valeur actuelle nette est-elle calculée ?
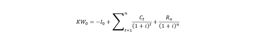
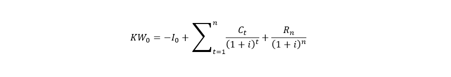
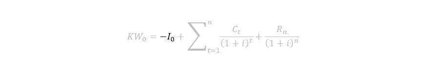
Le calcul de la valeur actuelle nette est effectué à l’aide de la formule suivante :
La formule suivante s’applique alors :
Le tableau suivant indique la signification des opérandes listés.
| I0 | Investissement de départ (t = 0) |
| n | Durée en années |
| t | Période |
| Ft | Flux de trésorerie |
| Et | Encaissements au moment t |
| Dt | Décaissement au moment t |
| i | Taux de rendement en % |
| VRn | Valeur résiduelle |
| VAN0 | Valeur actuelle nette |
Dans la littérature spécialisée, vous trouverez parfois une formule alternative :
Les deux formules parviennent au même résultat.
La méthode de calcul de la valeur actuelle nette basée sur les formules indiquées semble très complexe au premier abord, mais peut être subdivisée en sept étapes simples.
Procédez comme suit afin de calculer la valeur actuelle nette d’un investissement.
- Déterminez l’investissement total.
- Déterminez la durée de l’investissement.
- Calculez les flux de trésorerie des périodes concernées.
- Déterminez le taux de rendement.
- Déterminez la valeur résiduelle de votre investissement.
- Calculez la valeur actuelle de chaque période d’investissement.
- Calculez la valeur actuelle nette de votre investissement.
Nous vous expliquons ce calcul à l’aide d’un exemple.
Supposons que vous soyez le gérant d’une menuiserie et que vous planifiez d’investir dans un nouveau système d’aspiration équipé d’une presse à briquettes. L'idée est la suivante : la nouvelle machine doit rassembler la sciure et les copeaux de bois et les presser pour former des briquettes moins volumineuses pouvant être vendues et rapporter un bénéfice. Mais de tels appareils sont coûteux. Pour estimer la rentabilité d’un tel investissement, calculez la valeur actuelle nette de l’investissement.
Étape 1 : Déterminer le total de l’investissement
En premier lieu, calculez les coûts que vous devez supporter au début de l’investissement en additionnant tous les décaissements au moment initial t = 0.
Le total de l’investissement tient compte de l’ensemble des dépenses de trésorerie liées à l’investissement survenant au moment actuel, par exemple :
- les coûts d’acquisition des machines, des installations, des véhicules ou des équipements techniques,
- les coûts de main-d’œuvre et de formation,
- les coûts des prestations (par ex. la publicité).
Le total de l’investissement étant un décaissement, il est inscrit intégralement en tant que montant négatif dans le cadre du calcul de la valeur actuelle nette.
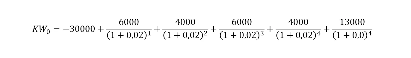
Dans notre exemple, nous partons du principe qu’un système d’aspiration avec presse à briquettes coûte environ 26 000 euros dans la taille nécessaire. S’y ajoutent 3 000 euros pour l’installation du système ainsi que 1 000 euros pour la formation des employés à l’utilisation de la nouvelle machine. Le montant total de l’investissement s’élève ainsi à 30 000 euros payables dès le début de la période d’investissement.
Étape 2 : Déterminer la période d’investissement
La valeur actuelle nette est calculée dans le cadre d’une méthode dynamique de calcul de l’investissement. Dans ce cadre, vous considérez la période d’investissement (n) comme des intervalles de temps (t) pour lesquels vous déterminez et actualisez des flux de trésorerie séparés. La valeur actuelle nette tient donc aussi bien compte des fluctuations dans les encaissements et décaissements générés par l’investissement que des évolutions du marché de capitaux impactant le taux de rendement utilisé pour l’actualisation du flux de trésorerie.
Estimez tout d’abord la durée de l’investissement prévu. Il s’agit ici du laps de temps au cours duquel un investissement génère des encaissements et des décaissements. La durée d’un investissement se mesure généralement en années. Pour l’actualisation, on a donc recours à des intervalles de temps d’un an à chaque fois.
Revenons à notre exemple : le fabricant du système d’aspiration indique une durée de vie de 20 ans. Nous prévoyons cependant de remplacer la machine par un modèle plus moderne après 4 années seulement et de revendre l’ancien système à un prix aussi élevé que possible. Nous tablons donc sur une durée d’investissement de 4 ans (n = 4). Celle-ci correspond à 4 intervalles de temps d’un an pour lesquels il convient de calculer et d’actualiser des flux de trésorerie séparés.
Étape 3 : Calculer les flux de trésorerie
Le calcul de la valeur nette actuelle repose sur l’actualisation de tous les encaissements et décaissements entraînés par l’investissement concerné.
Pour effectuer le calcul, déterminez tout d’abord l’excédent de trésorerie d’exploitation pour chaque intervalle de temps (également appelé flux de trésorerie), en calculant la différence entre les encaissements et les décaissements.
Dans notre exemple d’investissement, nous calculons les flux de trésorerie pour quatre années en tenant compte de l’ensemble des encaissements et décaissements prévus.
Un grossiste en combustibles alternatifs se propose de racheter les briquettes. La vente des briquettes génère chaque année des encaissements de 10 000 euros. Le système d’aspiration entraîne toutefois des coûts d’énergie et de maintenance. Conformément aux indications du fabricant, ces coûts s’élèvent à 4 000 euros par an. S’y ajoute le coût du remplacement des pièces d’usure tous les deux ans pour un montant de 2 000 euros.
On en déduit les flux de trésorerie suivants pour les quatre intervalles de temps de la période d’investissement.
| Encaissement | Décaissement | Excédent de trésorerie d’exploitation | |
|---|---|---|---|
| F1 | 10 000 € | 4 000 € | 6 000 € |
| F2 | 10 000 € | 6 000 € | 4 000 € |
| F3 | 10 000 € | 4 000 € | 6 000 € |
| F4 | 10 000 € | 6 000 € | 4 000 € |
Étape 5 : Déterminer la valeur résiduelle
La valeur résiduelle d’un investissement correspond au produit de la liquidation à la fin de la période d’investissement. Un tel produit est par exemple généré à l’occasion de la revente de la machine ou du véhicule. Si des coûts sont occasionnés après la fin de la période d’investissement – par exemple des coûts d’élimination –, on parle alors de produit de la liquidation négatif. La valeur résiduelle est également actualisée dans le cadre du calcul de la valeur actuelle nette.
La valeur résiduelle est uniquement calculée si cela s’avère nécessaire. En effet, tous les investissements n’entraînent pas un produit de liquidation. Les formations par exemple sont un investissement dans la qualification des employés pour lequel il n’y a pas de valeur résiduelle.
Dans notre exemple en revanche, nous partons du principe que le système d’aspiration avec sa presse à briquettes pourra être revendu à la moitié du prix neuf après quatre ans. La valeur résiduelle s’élève donc à 13 000 euros.
Étape 4 : Déterminer le taux de rendement
L’actualisation des flux de paiement au cours d’une période d’investissement est effectuée à l’aide d’un taux de rendement. Ce taux constitue l’opérande central du calcul de la valeur actuelle nette.
Vous pouvez déterminer le taux de rendement à partir du taux d’intérêt de la meilleure alternative de placement en tenant compte du principe des coûts d’opportunité. Tenez également compte de l’inflation.
Contrairement aux méthodes statiques de calcul de l’investissement, la méthode de la valeur actuelle nette permet également de prendre en compte l’évolution des courbes de taux et les intérêts composés. Si nécessaire, un autre taux de rendement peut être utilisé à chaque intervalle de temps.
Dans notre exemple, nous supposons que vous auriez la possibilité de placer le total de l’investissement (30 000 euros) sur le marché des capitaux à un taux d’intérêt de 0,2 pour cent sans risque. Nous utilisons donc ce taux comme taux de rendement.
Étape 6 : Déterminer la valeur actuelle
La valeur actuelle correspond à la valeur d’un paiement au moment actuel et est calculée en procédant à une actualisation.
Afin de calculer la valeur actuelle pour les intervalles de temps que nous avons définis, nous utilisons le taux de rendement défini et le déduisons – conformément à la formule de calcul de la valeur actuelle nette – des flux de trésorerie des différents intervalles de temps calculés auparavant.
Pour chaque flux de trésorerie de la période d’investissement ainsi que pour la valeur résiduelle, nous obtenons comme résultat une valeur actuelle qui correspond à la valeur actuelle du montant concerné au moment initial.
Étape 7 : déterminer la valeur actuelle nette
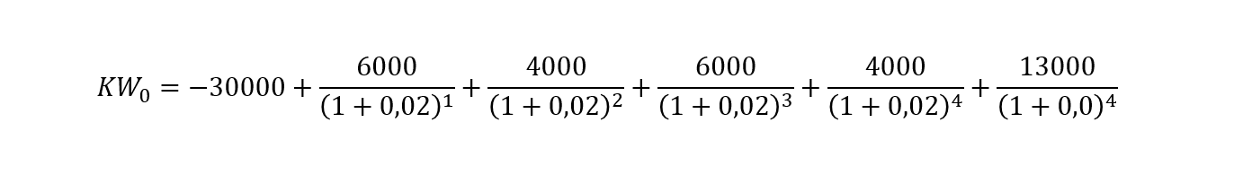
Afin de calculer la valeur actuelle nette d’un investissement, additionnez les valeurs actuelles de tous les intervalles de temps de la période d’investissement et retranchez ensuite le total de l’investissement.
Nous obtenons dans notre exemple une valeur actuelle nette de 1086,33 euros. Mais comment analyser ce résultat ?
Interprétation de la valeur actuelle nette
Si la somme de toutes les valeurs actuelles (également appelées valeur de capitalisation (VC0) est supérieure au total de l’investissement, on obtient alors une valeur actuelle nette positive comme c’est le cas dans notre exemple.
Une valeur actuelle nette positive (VAN0 > 0) – par exemple de 1086,33 euros – indique que l’investissement prévu génère davantage de bénéfices qu’un placement financier au taux de rendement sélectionné. Un tel investissement est économiquement rentable.
En revanche, si vous obtenez une valeur actuelle nette négative (VAN0 < 0), l’investissement serait selon toutes prévisions une opération à perte que vous ne devriez pas effectuer.
Si la valeur actuelle nette est exactement de 0 euro, votre investissement produit uniquement les intérêts de rendement mais aucun bénéfice supplémentaire, et n’offre ainsi, d’un point de vue purement financier, aucun avantage par rapport à un placement financier sans risque.
| Valeur actuelle nette | Évaluation | Description |
| VAN0 > 0 | Investissement rentable | L’investissement génère plus de bénéfices qu’un placement financier avec le taux de rendement sélectionné. |
| VAN0 < 0 | Investissement non rentable | L’investissement génère moins de bénéfices qu’un placement financier avec le taux de rendement sélectionné. |
| VAN0 = 0 | L’investissement n’offre aucun avantage par rapport à un placement financier sans risque | L’investissement produit uniquement les intérêts de rendement |
La valeur actuelle nette permet d’évaluer un investissement individuel ou de comparer plusieurs possibilités d’investissement. Si vous comparez la rentabilité de différents investissements, le plus avantageux économiquement est l’investissement pour lequel vous avez obtenu la valeur actuelle nette la plus élevée.
Quels sont les avantages et les inconvénients de la valeur actuelle nette ?
En calculant la valeur actuelle nette d’après la méthode détaillée ci-dessus, tous les intervalles de temps de la période d’investissement sont considérés individuellement. La méthode de la valeur actuelle nette fait ainsi partie des méthodes dynamiques de calcul de l’investissement. Par rapport à des méthodes statiques, elle a l’avantage de permettre la représentation de faits plus complexes, par exemple de différents flux de trésorerie dans les intervalles de temps ou d’un changement de taux de rendement.
La valeur actuelle nette rencontre un franc succès, car sa méthode de calcul est simple comparée à d’autres méthodes. Cet indicateur est clair et ne laisse aucune place à l’interprétation. Sa fiabilité est toutefois remise en cause par ses détracteurs.
La méthode de la valeur actuelle nette se révèle principalement problématique en raison des points suivants :
- Le calcul de la valeur actuelle nette repose sur l’hypothèse d’un marché des capitaux parfait.
- En plusieurs endroits, le calcul est basé sur des hypothèses préalables subjectives qui ont un impact significatif sur la valeur actuelle nette.
La méthode de la valeur actuelle nette s’appuie sur un marché des capitaux grandement simplifié, notamment en mettant au même niveau les intérêts débiteurs et créditeurs. Les dispositions fiscales ne sont pas non plus prises en compte. En pratique, ces conditions ne sont pas remplies. Il s’agit donc d’un indicateur difficilement transposable dans la vie réelle.
De plus, il existe un risque que l’entrepreneur considère des investissements non rentables comme rentables si les hypothèses préalables sont erronées. Aussi bien le taux de rendement que le montant des flux de trésorerie reposent sur des pronostics et sont fixés de façon plus ou moins arbitraire en cas de données insuffisantes. Toutes les hypothèses préalables du calcul de la valeur nette actuelle doivent par conséquent être suffisamment commentées et documentées, par exemple par des offres de banques concrètes, des données sectorielles ou des chiffres commerciaux des exercices précédents.
Veuillez prendre connaissance des mentions légales en vigueur sur cet article.










