Comment écrire la parfaite lettre de motivation pour un emploi ?
Vous souhaitez postuler à une offre d’emploi ? Il vous faut alors, en règle général, préparer votre dossier de candidature composé de votre CV, diplômes, portfolio de votre travail et également une lettre de motivation. Cependant, la candidature proprement dite se trouve dans la lettre de motivation, dans laquelle vous vous adressez directement à l’entreprise et expliquez pourquoi vous êtes intéressé par le poste annoncé et quelles qualifications vous possédez. Aujourd’hui, la plupart des demandes se font en ligne, par email ou via un formulaire sur le site Web de l’entreprise.
Toutefois, que vous postuliez en ligne ou par voie postale, certaines règles s’appliquent à chaque type de candidature : alors que le curriculum vitae, qui se compose de faits sobres, est structuré selon un schéma très fixe, le texte d’ouverture ou la lettre de motivation a une forme un peu plus libre (les lettres de motivation suivent également une certaine structure). Cependant, plus de liberté signifie souvent plus d’efforts. Si vous voulez marquer des points avec votre lettre de motivation, vous devez vous concentrer beaucoup plus sur le poste en question que par, exemple, votre CV : idéalement, votre lettre de motivation devrait tenir compte de l’entreprise que vous visez, de la branche dans laquelle vous postulez, de votre motivation et de l’offre d’emploi individuelle. La lettre de candidature est généralement la première chose qu’un employeur, un recruteur ou un responsable RH voit de vous ; c’est pourquoi il est important de gagner des points avec ce texte de présentation. Il ne suffit pas de se fier uniquement à des modèles et exemples de lettres de motivation, même s’ils sont disponibles en abondance sur Internet. Ce que vous devez prendre en considération lorsque vous rédigez une lettre de candidature se trouve dans notre article.
Qu’est-ce qu’une lettre de motivation ?
Grâce à la lettre de candidature, vous montrez à un employeur potentiel votre intérêt pour un poste donné. Le responsable des ressources humaines doit savoir, suite à la lecture de votre lettre, quels sont vos qualifications et pourquoi vous êtes intéressé par l’offre. Idéalement, il peut se faire une idée précise de vous en tant qu’employé, même sans devoir consulter vos autres documents de candidature.
Les dossiers de candidature classiques sont composés en première page d’une lettre de candidature. Si vous rédigez votre lettre de motivation de manière convaincante et vous concentrez sur les thèmes centraux, le destinataire sera alors plus disposé à traiter votre dossier en détail. Dans le cas contraire, votre candidature sera mise sur le côté sans bénéficier d’un examen plus détaillé.
Une lettre de motivation doit décrire principalement vos objectifs personnels et les raisons qui vous ont incité à postuler. Les lettres de motivation doivent également suivre certaines règles relatives à la formulation et la structure.
Comment est structurée une lettre de motivation ?
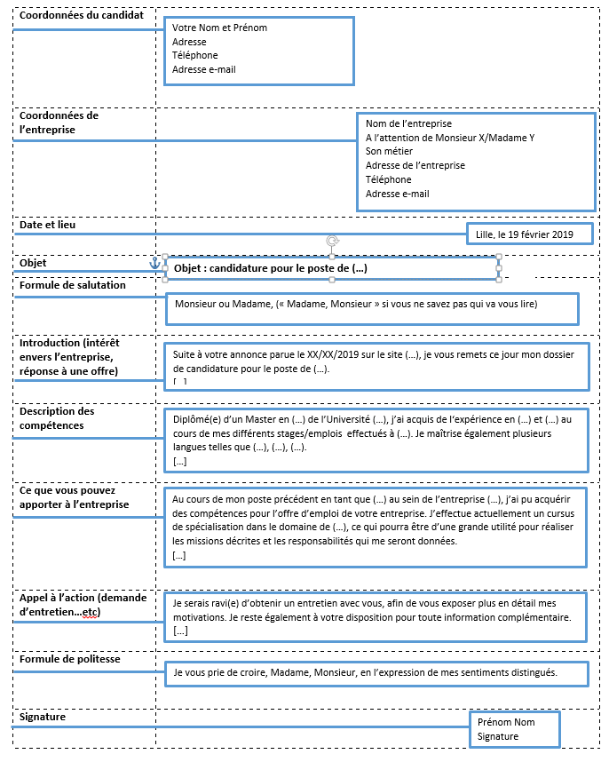
Une certaine structure est établie pour les lettres de motivation et il est important de la respecter. La raison en est la fonction du texte : il doit fournir à la personne responsable les informations les plus importantes sur votre motivation et vos qualifications professionnelles de manière aussi concise et précise que possible. Le graphique suivant illustre la structure de base d’une lettre de candidature.
Vous trouverez ci-dessous quelques explications relatives aux sections qui ne sont pas complètement explicites :
Expéditeur/coordonnées
Insérez vos coordonnées tout en haut à gauche du document. Fournissez également au destinataire diverses informations pour qu’il puisse vous contacter tels que votre adresse, votre numéro de téléphone mais aussi une adresse email sérieuse.
Objet
Ici, le destinataire doit immédiatement reconnaître de quel type de document il s’agit et à quel poste vous candidatez. Rédigez l’objet en une seule phrase, de manière claire et concise.
Formule de salutation
Si vous savez à qui vous vous adressez, vous pouvez alors utiliser soit « Monsieur, » ou bien « Madame, » pour commencer votre lettre. Ne commencez pas votre lettre par « Cher Monsieur » ou « Chère Madame » car cela est trop familier. De même, n’insérez pas le nom de famille de la personne concernée. Il faut rester neutre et conserver une certaine distance. Si vous ne savez pas si le destinataire est un homme ou une femme, employez « Madame, Monsieur, ». Il est toutefois recommander de chercher le nom du contact, afin de rédiger une lettre de motivation plus personnalisée.
Introduction
L’introduction vise à éveiller l’intérêt du lecteur en seulement 3 à 5 lignes pour qu’il ne rejette pas immédiatement votre candidature. Pour ce faire, procédez de la manière suivante :
- Indiquez brièvement votre motivation pour le poste annoncé. Dans l’idéal, vous devriez être en mesure de justifier dans l’introduction que votre intérêt résulte de votre activité professionnelle précédente et que le poste annoncé correspond de manière optimale à vos compétences et qualifications. Toutefois, limitez-vous à quelques phrases.
- Nommez l’argument principal de votre recrutement. Il peut s’agir de connaissances et de compétences spécifiques, de votre expérience professionnelle, de vos études et de votre formation ou de vos succès antérieurs. Mais concentrez-vous sur l’essentiel. La description plus détaillée ne doit figurer que dans la partie principale.
- Une phrase supplémentaire complète l’introduction. Par exemple, vous pouvez mettre l’accent sur votre volonté d’être performant.
Le corps de la lettre
Dans cette partie, il s’agit de vous vendre en tant qu’employé et en tant que personne et cela de la manière la plus convaincante possible. La section principale devrait couvrir les points suivants :
- Nommez les plus pertinents pour l’emploi tels que les Hard Skills (ou compétences dites « démontrables » soit techniques ou académiques). Assurez-vous d’inclure les compétences qui sont explicitement requises dans l’offre d’emploi. Ne vous contentez pas d’énumérer ces compétences, mais expliquez comment vous les avez acquises ou utilisées en vous référant à votre expérience professionnelle ou à vos études antérieures.
- Nommez également vos plus remarquables Soft Skills (elles représentent la personnalité et le savoir-être d’une personne). Dans de nombreux lieux de travail, certaines compétences non techniques sont particulièrement demandées, par exemple la capacité à travailler en équipe, la capacité à résoudre des problèmes et la résistance au stress. Les compétences générales sont également plus difficiles à prouver, mais certaines compétences générales sont automatiquement associées à des postes ou à des industries spécifiques. Si un candidat mentionne son expérience dans une agence de marketing, il est tout à fait crédible pour lui d’attirer l’attention sur ses compétences en communication. Toutefois, évitez les compétences non techniques trop personnelles et difficiles à prouver (par exemple : l’empathie etc.) ou celles qui ne vous sont d’aucune utilité pour le poste désiré.
- L’essentiel de vos compétences doit être lié, dans la mesure du possible, à l’emploi auquel vous postulez. De cette façon, vous clarifiez pourquoi vos capacités font de vous le candidat idéal pour le poste. Il vous permet également d’effectuer une transition élégante vers la section suivante.
Mention de l’entreprise
Dans cette partie, vous répondez aux questions suivantes : que puis-je apporter de plus à l’entreprise ? Pourquoi ai-je choisi l’entreprise comme employeur potentiel ? Vous devez donner au lecteur l’impression que vous êtes le candidat idéal pour le poste. Non seulement vous devez établir un lien entre vos compétences et le poste professionnel, mais vous devez aussi expliquer pourquoi vous, en tant que personne, vous correspondez au profil de l’entreprise. Vous pouvez y parvenir de la manière suivante, par exemple :
- Décrivez le poste comme la prochaine étape de votre carrière. Cela vous donnera l’impression que l’emploi que vous visez est la conséquence logique de votre carrière.
- Expliquez brièvement les raisons pour lesquelles vous trouvez l’entreprise intéressante. Mettre en évidence le positionnement de l’entreprise dans l’industrie. Expliquez pourquoi votre objectif personnel est de travailler dans cette entreprise.
Conclusion
La dernière impression est l’une des plus importantes. Cependant, si le lecteur a tenu jusqu’à la fin de la lettre, cela signifie que cette dernière s’est révélée suffisamment intéressante. Il vous reste encore un dernier travail de persuasion à fournir. Veillez néanmoins à exprimer votre souhait d’avoir un retour d’information. Signalez également votre volonté de vous présenter personnellement dans l’entreprise pour un entretien d’embauche. S’il vous est possible d’entrer en fonction plus tôt que prévu, annoncez-le en conclusion car cela représente un point positif non négligeable. Vous pouvez notamment marquer des points si l’entreprise souhaite que le poste soit pourvu rapidement.
Dans certaines annonces, il vous est demandé vos prétentions salariales. Il est souvent difficile de mentionner ces dernières de manière fluide au sein de la lettre de motivation. La conclusion est ainsi adaptée pour annoncer ses prétentions salariales en une courte phrase telle que « mes prétentions salariales se situent entre X et Y euros par mois/par an ». Insérez cette phrase en milieu de conclusion avant de remercier votre interlocuteur. Ainsi, vous éviterez que vos prétentions salariales se trouvent subitement au milieu de votre lettre de candidature, ce qui ferait mauvaise impression.
Conseils et astuces pour la rédaction de votre lettre de motivation
Si vous investissez suffisamment d’efforts et de temps dans votre lettre de candidature et que vous respectez la structure décrite ci-dessus, vous aurez déjà fait beaucoup pour rendre votre lettre de motivation aussi juste que possible. De plus, vous devez également tenir compte des points suivants afin de rédiger une lettre de candidature aussi convaincante que faire se peut.
Lire attentivement l’annonce
Votre lettre de motivation doit, dans la mesure du possible, aborder autant de références que possible à l’offre d’emploi et au poste que vous recherchez. Les conditions préalables à cela sont de lire en détail l’annonce relative au poste à pourvoir. Quelles sont les compétences exigées par l’employeur ? Quels types de Hard et Soft Skills (les compétences techniques et humaines) sont nommées explicitement ?
Dans l’idéal, il est conseillé de prendre des notes : écrivez, par exemple, les 5 points les plus importants de l’offre d’emploi que vous souhaitez aborder dans votre lettre de motivation.
Expliquer les lacunes dans le CV
Les lacunes inexpliquées dans votre CV paraissent non professionnelles et donnent l’impression que vous espérez qu’elles n’attireront pas l’attention. Dans votre lettre de motivation, mentionnez une lacune de plusieurs mois (y compris le chômage). Le chargé des ressources humaines remarquera de toute manière les lacunes de votre CV et vous interrogera à ce sujet lors d’un éventuel entretien d’embauche.
Au maximum une page format A4
Suivez la règle implicite selon laquelle une lettre de motivation ne doit pas dépasser une page A4. De nombreux responsables du personnel mettent directement de côté les lettres de candidature trop longues et ne les lisent même pas. Une page suffit pour traiter tous les points importants. La règle de base pour les candidatures en ligne est que vous devriez être en mesure de les lire sans avoir à faire défiler beaucoup. Si vous envoyez votre lettre de motivation en ligne sous forme de fichier PDF, utilisez simplement le format A4 comme pour la version imprimée.
Ne pas expérimentez de format
N’expérimentez pas non plus le format ! Pour une candidature écrite, vous devez utiliser une police lisible telle que Calibri ou Times New Roman. Séparez les sections individuelles par des lignes vierges ou des espaces entre les paragraphes. Evitez les éléments inutilement compliqués comme les tableaux et les sous-titres. Ceci s’applique également aux emails pour lesquels vous devez renoncer complètement à un formatage spécial (selon le programme de messagerie, ils peuvent ne pas s’afficher correctement pour le destinataire).
Brève et compréhensible
Evitez les phrases trop longues. Evitez l’utilisation excessive de mots étrangers ou de métaphores. Evitez également tout ce qui étire inutilement le texte comme les énumérations et répétitions. Fournissez plutôt au lecteur toute l’information pertinente sous une forme aussi concise que possible.
Un principe important bien connu pour une écriture efficace est le principe « K.I.S.S » (Keep It Short and Simple !). Ecrivez brièvement et simplement. Vous n’impressionnerez personne en enchaînant plusieurs phrases compliquées dans votre lettre de candidature.
Faire relire votre lettre
Dans l’idéal, si vous connaissez quelqu’un qui est excellent en orthographe, faites-lui relire votre lettre de candidature. Demandez-lui de vous faire part de ses remarques éventuelles. Souvent, vous ne constaterez pas d’erreurs de frappe ou d’inattention si vous avez travaillé sur votre texte durant une longue période. C’est pourquoi le regard d’une personne extérieure est nécessaire pour corriger les fautes et autres « coquilles ». Il peut également être utile de faire lire votre propre texte par un programme de synthèse vocale ou un lecteur d’écran. Si le logiciel vocal lit le texte à haute voix, vous pourrez remarquer plus clairement vos propres erreurs.
Soyez confiant (Call-to-Action)
Les lettres discrètes ne se distinguent pas de la foule. En invitant explicitement le lecteur à agir dans votre lettre de motivation, vous faites preuve de confiance en vous et l’incitez à vous contacter. Vous pouvez le faire, par exemple, en écrivant dans la dernière section que vous vous réjouissez d’un futur entretien d’embauche.
Vous pouvez également signaler dans la dernière partie que vous vous tenez à disposition pour tout complément d’informations. Toutefois, vous devez utiliser ce style de call-to-action de manière réfléchie, sinon vous paraîtrez envahissant ou même un peu désespéré. Une ou deux phrases de ce style peuvent cependant enrichir votre lettre de motivation dans de nombreux cas.
Si vous avez obtenu un entretien d’embauche, vous pouvez démontrer votre engagement en mettant en place un suivi par email.
Les erreurs courantes
Au cours de leur carrière, les recruteurs et le personnel des ressources humaines traitent un nombre incalculable de candidatures. En conséquence, ces derniers doivent trier les candidatures selon des critères précis afin que le processus d’embauche se déroule le plus rapidement possible. Une lettre de candidature contenant des erreurs sera vite ignorée par le personnel des ressources humaines. Nous vous indiquons quelles sont les erreurs les plus fréquentes et comment les éviter.
Eléments de distraction
Images, tableaux, polices fantaisistes, tout cela et bien plus encore ne se trouve pas dans une lettre de motivation. L’objectif d’une lettre de candidature est de présenter des informations pertinentes sur le plan professionnel de manière concise et précise. Les éléments de design non nécessaires détournent l’attention et peuvent laisser penser au personnel des ressources humaines que vous souhaitez dissimuler des points faibles ou des qualifications manquantes.
La lettre copiée-collée
Au cours de certaines périodes de votre vie, il peut arriver que vous ayez à envoyer des douzaines de candidature en très peu de temps. Bien entendu, cela économiserait un temps précieux d’envoyer la même lettre de candidature en changeant uniquement le nom du destinataire. Bien qu’il puisse évidemment être utile d’utiliser des formules identiques dans plus d’une lettre de motivation, il ne faut pas utiliser une lettre de motivation presque entièrement inchangée pour chaque candidature. Il est nécessaire de l’adapter au moins légèrement à l’annonce correspondante.
Si vous n’adaptez votre lettre, une personne expérimentée remarquera alors en quelques secondes qu’il s’agit d’une lettre copiée-collée. Notamment lorsque vous vous adressez à la mauvaise entreprise dans la conclusion ou si vous n’avez pas adapté vos qualifications à l’annonce postée. Dans l’idéal, ne copiez-collez pas mais résumez pour chaque candidature une lettre de motivation type et adaptez-la ensuite selon l’offre postée et l’entreprise.
Curriculum vitae paraphrasé
La lettre de candidature ne doit pas être un texte de votre curriculum vitae. Cependant, de nombreux candidats commettent l’erreur de simplement formuler des informations qui se trouvent déjà dans leur CV. Cependant, contrairement à votre CV, votre lettre de motivation sert à établir un lien personnel entre vous et l’emploi que vous recherchez et l’entreprise. De plus, vous ne mettez en évidence que les informations pertinentes pour le poste en question, alors que votre CV répertorie toutes les étapes de votre carrière.
Répétitions et digressions
N’évoquez dans votre lettre de motivation qu’une seule fois chaque information. Si le lecteur constate des répétitions excessives, il aura alors l’impression que votre lettre de motivation s’étire de manière artificielle car vous ne disposez pas suffisamment de qualifications pour remplir une feuille A4.
Vous ne devez pas non plus vous écarter des contenus importants. Pour chaque phrase, posez-vous la question de savoir si une fonction particulière est remplie : cette phrase m’aide-t-elle à obtenir le job ? Beaucoup de candidats font l’erreur de se concentrer sur les Soft skills, alors que ces dernières sont seulement évoquées lors de l’entretien d’embauche. En particulier, si certaines connaissances ou qualifications sont requises dans l’offre d’emploi, vous devriez d’abord les présenter avant de donner trop de place à vos compétences générales.
Flatterie et enthousiasme exagéré
Un dernier conseil : ne vous montrez pas mielleux envers le personnel ou l’entreprise. Cela s’applique en particulier à la partie sur l’entreprise, dans laquelle vous établissez un lien personnel avec celle que vous visez. Vous courez alors le risque d’attirer négativement l’attention par des formulations excessivement exubérantes. Si vous écrivez dans une lettre de motivation destinée à une jeune entreprise que celle-ci est un acteur établi sur le marché et ainsi un honneur d’y travailler, le responsable RH mettra votre candidature de côté avec le sourire. Restez mesuré.
Si vous flattez de manière ostensible, vous renvoyez l’image de quelqu’un manquant de professionnalisme et de sincérité, comme si vous essayiez de couvrir les points faibles votre dossier de candidature en utilisant un tel style. De plus, ne répétez pas plusieurs fois que vous aimeriez être convoqué à un entretien d’embauche, une fois ou deux est suffisant. Vous ne devez pas avoir l’air de quelqu’un qui quémande un poste.
Pourquoi ne postuler à un emploi sans annonce ? Faites preuve d'initiative et envoyez une candidature spontanée. Vous trouverez quelques conseils dans notre article sur ce sujet !
Exemples de lettres de motivation
Sur le Web, vous trouverez de nombreux exemples et modèles de lettres de motivation. Il est cependant généralement conseillé de formuler soi-même sa lettre de candidature. La plupart des chargés de ressources humaines ont déjà eu connaissance d’un nombre incalculable de modèles de lettres de motivation type et reconnaissent immédiatement celles qui sont tirées d’un exemple en ligne. De manière générale, cela renvoie l’impression que l’entreprise ne valait pas la peine que vous consacriez du temps à la rédaction d’une lettre de candidature personnalisée.
Si vous vous en tenez à la structure de texte standard que nous avons décrite ci-dessous et créez votre propre lettre de motivation, vous mettez toutes les chances de votre côté. Les modèles et exemples de lettres de motivation servent cependant à vous donner une première orientation ou un point de comparaison.
- Modèles de lettres de motivation offre un vaste choix de modèles différents et selon le secteur d’activité, le statut et l’expérience professionnelle.
- Exemples de lettres de motivation 15 exemples gratuits de lettres de motivation pour postuler à un stage, un emploi ou une formation.
Si vous voulez absolument utiliser un modèle pour rédiger votre lettre de motivation, vous devez au moins modifier la structure des phrases. Une bonne candidature requiert du temps et de l’investissement. Plus vous travaillez sur votre candidature, plus le destinataire de votre lettre s’en apercevra rapidement. L’utilisation insouciante d’un modèle pour votre lettre de motivation est le moyen le plus rapide d’atterrir dans la pile des candidatures rejetées.
Veuillez prendre connaissance des mentions légales en vigueur sur cet article.


