Le ROI : définition, calcul et formules
Dans la gestion des entreprises, on utilise plusieurs indicateurs de performance pour mesurer le succès d’une entreprise et la pertinence de ses investissements. Parmi les principaux indicateurs de ce type figure le retour sur investissement, abrégé en ROI. Nous allons vous présenter ce qu’est le ROI, comment on le calcule et comment on peut l’interpréter pour mesurer la rentabilité d’une entreprise.
- 1 certificat SSL Wildcard par contrat
- Fonction incluse Domain Connect pour une configuration DNS simplifiée
Qu’est-ce que le ROI ? Définition
Le retour sur investissement (en anglais Return on Investment, ROI) fait partie des indicateurs les plus importants du secteur économique. Il désigne le rendement d’une unité de gestion (par exemple une entreprise) par rapport au capital investi. Cet indicateur est à la tête du schéma de Du Pont, et représente le pivot central du modèle de rentabilité le plus ancien au monde. Il fut inventé en 1919 par le groupe chimique américain Du Pont de Nemours and Co.
Ce modèle d’analyse financière, aussi appelé « pyramide Du Pont », permet de décomposer et de visualiser les différents éléments contribuant à la rentabilité d’une entreprise. Il est utilisé pour évaluer l’efficacité opérationnelle et la gestion de la performance d’une unité de gestion, comme une entreprise ou un département.
Dans quel cadre utilise-t-on le ROI ?
Au sens du modèle économique DuPont, le ROI sert d’indicateur pour mesurer le succès d’une entreprise au regard de l’investissement total en capital. Cette valeur est une réponse à la question de performance du capital investi sur une période comptable donnée. En principe, cet indicateur peut servir dans toutes les situations où vous souhaitez exprimer le succès d’une opération sous la forme du retour par rapport à un capital investi. On l’utilise par exemple pour :
- Évaluer des investissements immobiliers
- Comparer des projets d’investissements
- Analyser les différents secteurs d’une entreprise
Calcul du ROI
Les chiffres clés que vous devez utiliser pour calculer la valeur de votre ROI seront différents selon que vous souhaitez calculer la rentabilité financière de toute votre entreprise sur une période comptable, ou le retour d’investissements spécifiques, ou encore celui d’une branche spécifique de votre entreprise.
Formule permettant de calculer le ROI :
Si l’on suit le modèle Du Pont, on obtient le ROI d’une entreprise en multipliant le taux de la marge d’exploitation par le taux de rotation du capital.

On peut aussi envisager de calculer le ROI d’une entreprise ou d’un investissement en divisant le gain de l’investissement par le coût de l’investissement, et en multipliant le résultat par 100.

Les deux formules donnent le même résultat. Celui-ci peut être vérifié au moyen de la formule suivante :
Formule permettant de calculer la marge d’exploitation :

La marge d’exploitation permet d’indiquer la marge de profit effectuée sur le chiffre d’affaires net de votre entreprise.
Formule permettant de calculer la rotation du capital :

La rotation du capital donne une indication sur le rapport existant entre le chiffre d’affaires de votre entreprise et le capital total (Capital propre + capitaux empruntés).
Formule permettant de calculer le ROI :

Comme l’indique le graphique ci-dessous, la pyramide Du Pont de Nemours place la marge d’exploitation et la rotation du capital juste en dessous du retour sur investissement.

Exemple de calcul du ROI :
À présent, nous allons illustrer le calcul du ROI à l’aide d’un exemple. Prenons pour cela l’exemple d’une entreprise affichant les chiffres suivants sur une période comptable donnée :
| Chiffre d’affaires net | 45,5 millions d’euros |
|---|---|
| Capital total | 20,3 millions d’euros |
| Marge (avant intérêts) | 2,8 millions d’euros |
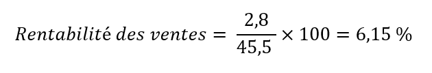
Pour bien comprendre comment calculer le ROI, commençons par déterminer la marge d’exploitation de l’entreprise. Pour cela, nous allons diviser la marge réalisée par le chiffre d’affaires net, et multiplier ce résultat par 100 pour obtenir un taux. Pour l’entreprise de notre exemple, on obtient une marge d’exploitation de 6,15 %.

Dans un deuxième temps, nous allons calculer la rotation du capital. Pour cela, nous divisons le chiffre d’affaires net par le capital total.
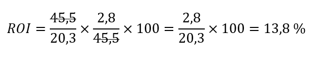
Dans cet exemple, nous obtenons une rotation de capital de 2,24.

Si on multiplie la marge d’exploitation par la rotation de capital, on obtient pour la période comptable donnée, un ROI de 13,8 %.

On obtient le même résultat en calculant le ROI d’une manière différente :

Calculer le ROI d’un investissement unique
Si vous ne souhaitez pas calculer le retour sur investissement de l’ensemble de votre entreprise, mais la rentabilité d’un investissement particulier ou celle d’une branche de votre activité, procédez alors de la manière suivante :
Divisez la part de bénéfice de votre investissement ou du domaine d’activité par l’investissement de capital correspondant, et multipliez le résultat par 100 :

Parmi les applications possibles dans le domaine du marketing online, on a des calculs permettant par exemple de déterminer le rapport entre les coûts publicitaires et les gains engendrés par cette opération. Dans ce contexte, on parle de retour sur investissement en marketing (ROMI).
Google conseille aux administrateurs de sites Internet de déterminer la pertinence de leurs dépenses Google Ads au moyen du ROI obtenu. Le calcul présenté dans l’exemple ci-dessous vous explique comment faire.
Imaginez que vous êtes propriétaire d’un magasin en ligne, et que vous souhaitez faire référencer vos produits dans les moteurs de recherche. L’achat de vos articles entraîne un coût à hauteur de 2 500 €, avec lequel vous allez engendrer un chiffre d’affaires de 4 000 €. Les annonces Ads vous coûtent 500 €.
Vous pouvez calculer le ROI de votre marketing en divisant la part de bénéfice par vos frais de publicité, et en multipliant ce résultat par 100. C’est d’ailleurs la fonction de la formule dite ROAS (Retour sur dépenses publicitaires). Elle permet de calculer spécifiquement la rentabilité des dépenses publicitaires

L’exemple ici a donné un ROAS de 200 %.

Différence avec les autres indicateurs de rentabilité
Comme un élément central du modèle Du Pont, le retour sur investissement (ROI) désigne d’une part la rentabilité des capitaux propres (Return on Equity ; ROE) et, d’autre part, la rentabilité des actifs (Return on Assets ; ROA), composés des capitaux propres et empruntés.
Le retour sur investissement (ROI) :

La rentabilité des capitaux propres (ROE)

Rentabilité des actifs (ROA) :

Interpréter le ROI
Le retour sur investissement donne un aperçu de la rentabilité du capital immobilisé. Il peut s’agir de l’ensemble du capital d’une entreprise ou de la dépense d’investissement engagée pour un investissement unique.
Le ROI est un indicateur qui mesure le retour engendré par ce capital. La manière de le calculer dépend aussi du secteur d’activité dans lequel l’entreprise travaille ou investit. De nombreux entrepreneurs se fixent des objectifs de retour sur investissement de plus de 10 %. Les valeurs de ROI atteintes dans le secteur du commerce sont, en moyenne, supérieures à celles que l’on peut espérer atteindre dans le secteur industriel. Calculer une valeur de ROI permet de comparer en termes de rentabilité, au sein d’une même entreprise, différents projets d’investissement ou plusieurs branches d’activités.
Les limites du ROI
Calculer le ROI est une procédure courante pour évaluer la rentabilité d’un investissement, tant en termes de prévisions que, plus tard, de suivi et de contrôle. Cet indicateur est vite calculé et favorise aussi des comparaisons. La pertinence du ROI est malgré tout limitée lorsqu’il s’agit de mesurer les répercussions financières. À cette approche fragmentée viennent souvent s’ajouter des répercussions plus globales, que le ROI ne peut pas anticiper. En analysant le résultat global d’une entreprise ou en évaluant des investissements ponctuels, il est possible de déceler certaines limites.
- Le ROI est un indicateur comptable qui permet en principe d’évaluer des décisions prises par le passé. Cet indicateur est donc limité pour l’évaluation de projets futurs.
- Les risques associés aux investissements et les facteurs d’influence externes ne sont pas pris en compte par le ROI. C’est le cas notamment de la conjoncture, les éventuelles crises économiques, la satisfaction du client, la concurrence, etc.
- Étant donné que le ROI est un indicateur calculé sur la base d’une période déterminée, il est difficile de comparer des investissements avec différentes périodes d’amortissement. Il n’est d’ailleurs pas toujours possible, dans la pratique, d’attribuer avec certitude le chiffre d’affaires et les bénéfices d’une entreprise à des investissements spécifiques.
Veuillez prendre connaissance des mentions légales en vigueur sur cet article.
- Adresse email à votre nom
- Fonctions d'IA pour rédiger des emails parfaits (en option)
- Messagerie sécurisée avec protection anti-spam

